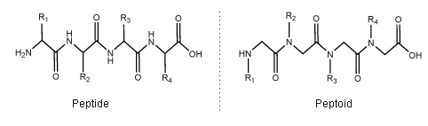
主な特徴(ペプトイド vs. ペプチド)
- より安定:ペプトイドはペプチドよりもin vivoでの分解に対して耐性があります。
- より多くの選択肢: ペプトイドはすぐに利用できる1級アミンから幅広いライブラリを簡単に合成できるため、創薬のコンビナトリアルアプローチに大変適しています。
- 費用対効果と時間効率に優れている:スクリーニング手法の大きな進歩が、数十万の化合物のペプトイドライブラリを安価かつ迅速に確立し、高度に特異的なタンパク質結合を実現できるようになりました。
- より高い市場可能性:ペプトイドの特徴により、ペプトイドは大きな可能性を秘めた薬剤の一種となります。
サービスの仕様
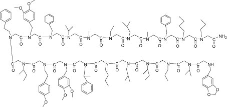
ペプトイド合成(カタログ番号:SC1559)
- 20の異なる残基を利用可能 (さらに開発中)
- 最大20残基のペプトイド長
- クルードから≥98%までのペプトイド純度
- 最大500 mgのペプトイド量
- 利用可能な修飾:アセチル化、アミド化、ビオチン、FAM、FITC、TMR標識
- 質各ペプトイドについて量分析、HPLC、およびCoAを提供
- 2~6週間の作業期間(ご注文のペプトイドの長さと量によって変動)
現在利用可能なペプトイド側鎖
|
側鎖名
|
略表記
|
Structural Formula
|
|---|---|---|
|
Methylamine
|
{NAla}
|
|
|
Ethylamine
|
{NAbu}
|
|
|
n-propylamine
|
{Nnpa}
|
|
|
n-butylamine
|
{Nnba}
|
|
|
Isopropylamine
|
{NVal}
|
|
|
Sec-butylamine
|
{NIle}
|
|
|
(S)-(+)-Sec-butylamine
|
{(S)-NIle}
|
|
|
(R)-(-)-Sec-butylamine
|
{(R)-NIle}
|
|
|
Isobutylamine
|
{NLeu}
|
|
|
Benzylamine
|
{NPhe}
|
|
|
β-phenylethylamine
|
{NPea}
|
|
|
α-methylbenzylamine
|
{Nmba}
|
|
|
(S)-α-methylbenzylamine
|
{(S)-Nmba}
|
|
|
(R)-α-methylbenzylamine
|
{(R)-Nmba}
|
|
|
2-(methylthio)ethylamine
|
{NMet}
|
|
|
3-Methoxypropylamine
|
{Nmpa}
|
|
|
1,4-Butylenediamine
|
{NLys}
|
|
|
4-methoxyphenethylamine
|
{Nmpe}
|
|
|
3,4-Dimethoxybenzylamine
|
{Ndmb}
|
|
|
Tetrahydrofurfurylamine
|
{Nffa}
|
|
|
(S)-(+)-Tetrahydrofurfurylamine
|
{(S)-Nffa}
|
|
|
(R)-(-)-Tetrahydrofurfurylamine
|
{(R)-Nffa}
|
|
|
Piperonylamine
|
{Npip}
|
|
|
4-(2-Aminoethyl)benzenesulfonamide
|
{Nbsa}
|
|
|
Tert-butylamine
|
{Ntbu}
|
|
|
Diisopropylamine
|
{Ndip}
N-terminal only |
|
|
Tryptamine
|
{NHtrp}
|
|
|
1H-Indole-3-methanamine
|
{NTrp}
|
|
|
Cysteamine
|
{NHcys}
|
|
|
4-Hydroxybenzylamine
|
{NTyr}
|
|
|
Histamine
|
{NHhis}
|
|
|
Glycine
|
{NAsp}
|
|
|
Glycinamide
|
{NAsn}
|
|
|
Beta-Alanine
|
{NGlu}
|
|
|
Beta-alanine amide
|
{NGln}
|
|
納品仕様
一般的な納品パッケージは、ご要望の配列、純度、量の凍結乾燥ペプトイド、および関連するQCレポートで構成されています。全てのペプトイド合成のステップは、ジェンスクリプトの厳格な品質管理に従って実施されています。







































